Μosxos eClass

Ηλεκτρονική Σχολική Τάξη - Μόσχος Αλέξανδρος (Μαθηματικός)

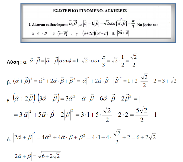
Ασκήσεις στο εσωτερικό γινόμενο διανυσμάτων 1 - Β΄ Λυκείου










Αποστολή με μήνυμα ηλεκτρονικού ταχυδρομείου BlogThis!Κοινοποίηση στο XΜοιραστείτε το στο FacebookΚοινοποίηση στο Pinterest
Αρχική σελίδα
Εγγραφή σε: Αναρτήσεις (Atom)
  • Αρχικό μενού

VIDEO ΜΕ ΒΙΩΜΑΤΙΚΕΣ ΔΡΑΣΕΙΣ ΜΑΘΗΜΑΤΙΚΩΝ

VIDEO ΜΕ ΒΙΩΜΑΤΙΚΕΣ ΔΡΑΣΕΙΣ ΜΑΘΗΜΑΤΙΚΩΝ
Φωτογραφικό υλικό δράσεων στο Γυμνάσιο-Λυκειακές Τάξεις Σημάντρων κατά τα έτη 2015-2021

VIDEO ΜΕ ΔΙΔΑΣΚΑΛΙΑ ΜΑΘΗΜΑΤΙΚΩΝ ΜΕ ΤΠΕ

VIDEO ΜΕ ΔΙΔΑΣΚΑΛΙΑ ΜΑΘΗΜΑΤΙΚΩΝ ΜΕ ΤΠΕ
Eνδεικτικά διδακτικά στιγμιότυπα από την αξιοποίηση του Η/Υ στην διδασκαλία των μαθηματικών
ΣΤΟΙΧΕΙΑ ΓΙΑ ΤΟΝ ΕΚΠΑΙΔΕΥΤΗ
  • Βιογραφικό σημείωμα
  • To όραμα για την μαθηματική εκπαίδευση
  • Εισηγήσεις μου σε ημερίδες και συνέδρια
  • Συγγραφικό έργο και δημοσιεύσεις σε περιοδικά
  • Φωτογραφικό υλικό από εισηγήσεις μου σε συνέδρια
  • Μαθησιακά μου αντικείμενα στο Φωτόδεντρο
  • Το e -περιοδικό μου στο ΠΣΔ
  • Τα ιστολόγια και το κανάλι μου στο You Tube
  • Συγχαρητήρια μηνύματα
ΔΙΔΑΚΤΙΚΑ ΕΝΔΙΑΦΕΡΟΝΤΑ ΕΚΠΑΙΔΕΥΤΗ
  • Θέματα Εφαρμοσμένης Διδακτικής Μαθηματικών
  • Καλές διδακτικές πρακτικές
  • Διδάσκοντας με φύλλα εργασίας
  • Ρεαλιστικά προβλήματα και γεωμετρικά μοντέλα
  • Αξιοποίηση της Ιστορίας των Μαθηματικών
  • Βιωματική μάθηση στα μαθηματικά
  • Αξιοποίηση των Νέων Τεχνολογιών
ΓΕΝΙΚΑ ΓΙΑ ΤΗΝ ΗΛΕΚΤΡΟΝΙΚΗ ΤΑΞΗ
  • Ταυτότητα της Mosxos eClass
  • Χάρτης πλοήγησης της Μosxos eClass
  • Πείτε μας τη γνώμη σας
ΔΙΑΔΡΑΣΗ ΜΕ ΤΟ ΜΑΘΗΜΑ
  • Ημερολόγιο
  • Αρχεία
  • Aποστολή εργασίας - Επικοινωνία
  • Απαντήσεις από τον εκπαιδευτή
  • Διδακτικά εγχειρίδια
  • Χαρτί και μολύβι : Η άσκηση του μήνα
ΔΙΔΑΚΤΙΚΟ ΥΛΙΚΟ ΑΠΌ ΤΟΝ ΕΚΠΑΙΔΕΥΤΗ
Πρόκειται για έντυπο και πολυμεσικό υλικό για αξιοποίηση στην διδασκαλία.
  • Φυλλάδια ασκήσεων
  • Φύλλα εργασίας
  • Διαδραστικά φύλλα εργασίας
  • Διαγωνίσματα - Θέματα εξετάσεων
  • Τράπεζα θεμάτων Γ στα μαθηματικά λυκείου
  • Μαθηματικά Γ΄ Λυκείου
  • Ηλεκτρονικά τεστ και σταυρόλεξα
  • Ηλεκτρονικά διαγωνίσματα και πολυμεσικά τεστ
  • Μαθηματικά κουίζ στο Quizizz
  • Ηλεκτρονικά Μαθήματα
  • Ιστορικά μαθηματικά προβλήματα
  • Βιντεομαθήματα
  • Προβλήματα πραγματικής κατάστασης
  • Βιωματικές δραστηριότητες
  • Θέματα από την Μαθηματική Λογοτεχνία
  • Σενάρια διδασκαλίας
  • Πορείες διδασκαλίας
  • Διαδραστικά φύλλα εργασίας Geogebra
  • Μικροπειράματα σε Geogebra
  • Διαδραστικά παιχνίδια σε Geogebra
  • Υλικό σε Skeschpad
  • Χελωνόκοσμος - Μodellus - Scratch
  • Power Point στα μαθηματικά
  • Διδακτικό υλικό σε Excell
  • Ανοικτά προβλήματα
  • Μαθηματικά παιχνίδια και σπαζοκεφαλιές
  • Μαθηματικά κόμικς
  • Εννοιολογικοί χάρτες
  • Διδακτικό υλικό για το πείραμα του Ερατοσθένη
  • Δοκίμια μαθηματικού ενδιαφέροντος
  • Bιογραφίες Μαθηματικών
ΔΡΑΣΕΙΣ ΑΠΟ ΤΟΝ ΕΚΠΑΙΔΕΥΤΗ
Προτάσεις διδασκαλίας και βιωματικές δράσεις μαθηματικών, εφαρμοσμένες στην διδακτική πράξη , με θεωρητική τεκμηρίωση και φωτογραφικό υλικό.
  • Διδασκαλία μαθηματικών με ΤΠΕ
  • Φύλλο εργασίας με βιντεοπροβολέα
  • Η χρήση του διαδραστικού πίνακα
  • Η Ιστορία των Μαθηματικών στην πράξη
  • Μετρώντας το ύψος του σχολείου μας
  • Υπολογίζοντας το ύψος από το κοντάρι της σημαίας
  • To πείραμα του Ερατοσθένη
  • Πειράματα με χειραπτικά αντικείμενα
  • Διαθεματικές δράσεις μαθηματικών και φυσικής
  • Μαθηματικές κατασκευές
  • Εφαρμογές μαθηματικών σε κινητά τηλέφωνα
  • Μαθηματικά και ... παιχνίδι
  • Εργασίες μαθητών στα μαθηματικά
  • Συνδιδασκαλία Μαθηματικών και Λογοτεχνίας
  • Στη χώρα των πολυωνύμων : Δειγματική διδασκαλία
  • Υπολογίζοντας τον δείκτη του σωματικού μου βάρους
  • Δράσεις μας στο περιοδικό της Ε.Μ.Ε Ευκλείδης Α
  • Υλικό μαθηματικών διαλέξεων
  • Διδακτικές επισκέψεις
ΧΡΗΣΙΜΕΣ ΣΥΝΔΕΣΕΙΣ
  • To Ψηφιακό Σχολείο
  • Ψηφιακή Βιβλιοθήκη
  • Μαθηματικές ιστοσελίδες
  • Εκπαιδευτικά Λογισμικά και Applet
  • Μαθηματικοί Διαγωνισμοί και περιοδικά
  • Μαθηματική Λογοτεχνία - Λέσχες Ανάγνωσης
  • Mαθαίνουμε παίζοντας

Συνολικές προβολές σελίδας

2015.Πνευματικά δικαιώματα : Μόσχος Αλέξανδρος. Θέμα Παράθυρο εικόνας. Από το Blogger.